当前位置: 首页 >> 正文
南海所对核电厂冷源致灾生物尖笔帽螺生理生态的研究取得新进?/h3>

图一 大亚湾西南海域尖笔帽螺暴?/p>
近日,中国水产科学研究院南海水产研究所黄洪辉研究员领衔的南海渔业生态环境监测与评价创新团队对核电厂冷源致灾生物尖笔帽螺(Creseise acicula)生理生态的研究取得新进展,相关成果以《Effects of seawater temperature and salinity on physiological performances of swimming shelled pteropod Creseis acicula during a bloom period》为题,发表在《Frontiers in Marine Science》上(韩婷婷为第一作者,黄洪辉为通讯作者)。该研究是该创新团队在“滨海核电厂冷源致灾生物监测预警和防控”领域的系列研究之一,获得国家重点研发计划(2018YFC1407501 & 2018YFC1407504)项目资助?/p>
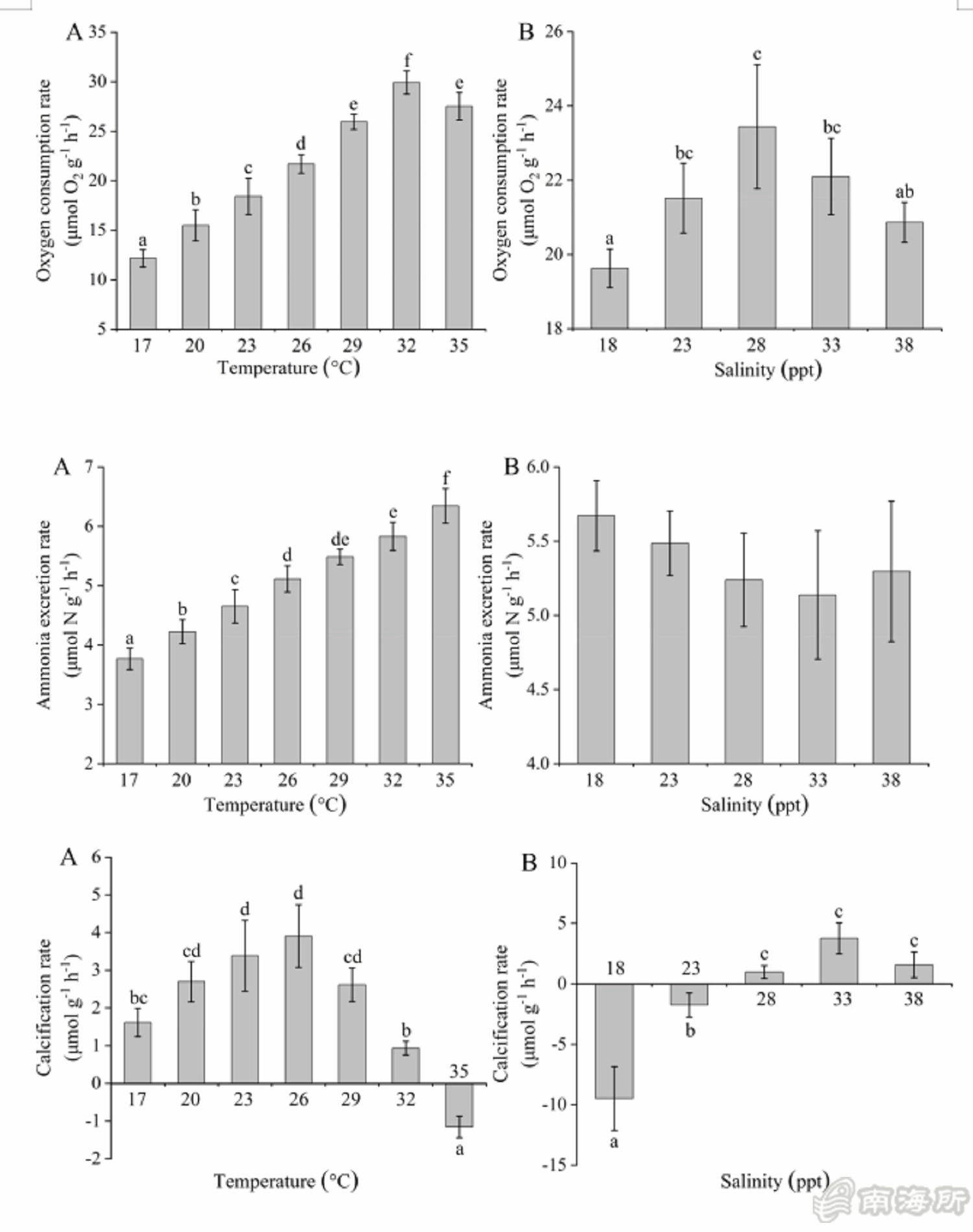
尖笔帽螺隶属软体动物门翼足目,营浮游生活,曾在世界多个海域记录到暴发,此前在中国海域未有暴发记录?020?-7月,尖笔帽螺在大亚湾西南核电邻近海域大规模暴发,整个过程持续?个月,高峰期密度达到5600 ind m-3,是迄今为止已报道的该种暴发的最高密度。有关尖笔帽螺暴发的机理研究甚少。南海所创新团队通过实验研究,分析了水温和盐度变化对尖笔帽螺耗氧率、排氨率和钙化率等生理活动的影响,探讨了尖笔帽螺暴发的生理适应性因素?/p>
研究结果表明,水温对尖笔帽螺耗氧率、排氨率的影响强于盐度,而盐度对钙化率的影响强于水温。尖笔帽螺的最适水温和盐度分别?9-32℃和28-33,核电温排水对大亚湾西南海域的长期温升效应可能是这次暴发的一个重要因素?nbsp;
全文链接?https://doi.org/10.3389/fmars.2022.806848

图二 水温和盐度对尖笔帽螺耗氧率、排氨率和钙化率的影?/p>
微信扫一?br>分享到朋友圈

图一 大亚湾西南海域尖笔帽螺暴?/p>
近日,中国水产科学研究院南海水产研究所黄洪辉研究员领衔的南海渔业生态环境监测与评价创新团队对核电厂冷源致灾生物尖笔帽螺(Creseise acicula)生理生态的研究取得新进展,相关成果以《Effects of seawater temperature and salinity on physiological performances of swimming shelled pteropod Creseis acicula during a bloom period》为题,发表在《Frontiers in Marine Science》上(韩婷婷为第一作者,黄洪辉为通讯作者)。该研究是该创新团队在“滨海核电厂冷源致灾生物监测预警和防控”领域的系列研究之一,获得国家重点研发计划(2018YFC1407501 & 2018YFC1407504)项目资助?/p>
尖笔帽螺隶属软体动物门翼足目,营浮游生活,曾在世界多个海域记录到暴发,此前在中国海域未有暴发记录?020?-7月,尖笔帽螺在大亚湾西南核电邻近海域大规模暴发,整个过程持续?个月,高峰期密度达到5600 ind m-3,是迄今为止已报道的该种暴发的最高密度。有关尖笔帽螺暴发的机理研究甚少。南海所创新团队通过实验研究,分析了水温和盐度变化对尖笔帽螺耗氧率、排氨率和钙化率等生理活动的影响,探讨了尖笔帽螺暴发的生理适应性因素?/p>
研究结果表明,水温对尖笔帽螺耗氧率、排氨率的影响强于盐度,而盐度对钙化率的影响强于水温。尖笔帽螺的最适水温和盐度分别?9-32℃和28-33,核电温排水对大亚湾西南海域的长期温升效应可能是这次暴发的一个重要因素?nbsp;
全文链接?https://doi.org/10.3389/fmars.2022.806848

图二 水温和盐度对尖笔帽螺耗氧率、排氨率和钙化率的影?/p>


粤公网安?4010502001742?/a>