当前位置: 首页 >> 正文
南海所成功构建沉积物中金属稀土元素对水生生物区系联合生态风险评价方?/h3>
近日,中国水产科学研究院南海水产研究所渔业生态环境监测与评价创新团队谷阳光副研究员(第一/通讯作者)、黄洪辉研究员、吴风霞博士等基于沉积物稀土元素生物可利用性,首次构建了稀土元素对水生生物区系联合生态风险评价方法,相关研究成果以《First attempt to assess ecotoxicological risk of fifteen rare earth elements and their mixtures in sediments with diffusive gradients in thin films》为题发表在国际水环境顶级期刊《Water Research》上 (自然指数期刊,SCI,IF=9.130)?br>
金属稀土元素是元素周期表ⅢB族的钪、钇和镧系等17种金属元素的总称,广泛应用于高科技行业。稀土元素在全球范围内的开发和使用,不可避免地致使其进入水体和陆地生态系统,导致生态环境问题。目前,中国是世界最大的稀土存储、生产、消费、出口和进口的国家,产量约占全球60%以上。稀土元素被认为是新型的污染物,当其进入水生态系统,沉积物是主要的“库”和“源”。但是沉积物中多种稀土元素对水生生物区系的生态毒性却无相关报道?br>
目前,沉积物金属元素质量评价标准主要是依据金属总量而建立的,评价标准也主要是单因子评价。这种依据金属总量建立起来的评价标准往往高估了生态风险,而且这种生态风险也主要是针对单个水生生物物种,但真实的水生态系统中却是多种金属元素对不同营养级水生生物的联合毒性。因此,这些质量标准缺乏多种金属元素对多种水生生物生态风险的评价?br>
与传统的破坏性测定技术相比,梯度扩散薄膜(DGT)技术能够在原位状态下比较真实地反映环境介质中目标物的可移动性和生物可利用性,从而更好地反映环境介质的营养或污染水平。DGT 的富集过程可以模拟目标离子在环境中的迁移和生物吸收过程,分析结果更加科学可靠,而这一特点正是传统有效态测定方法所欠缺的?/p>

? 珠江口潮间带沉积物稀土生物可利用性浓度及分布特征
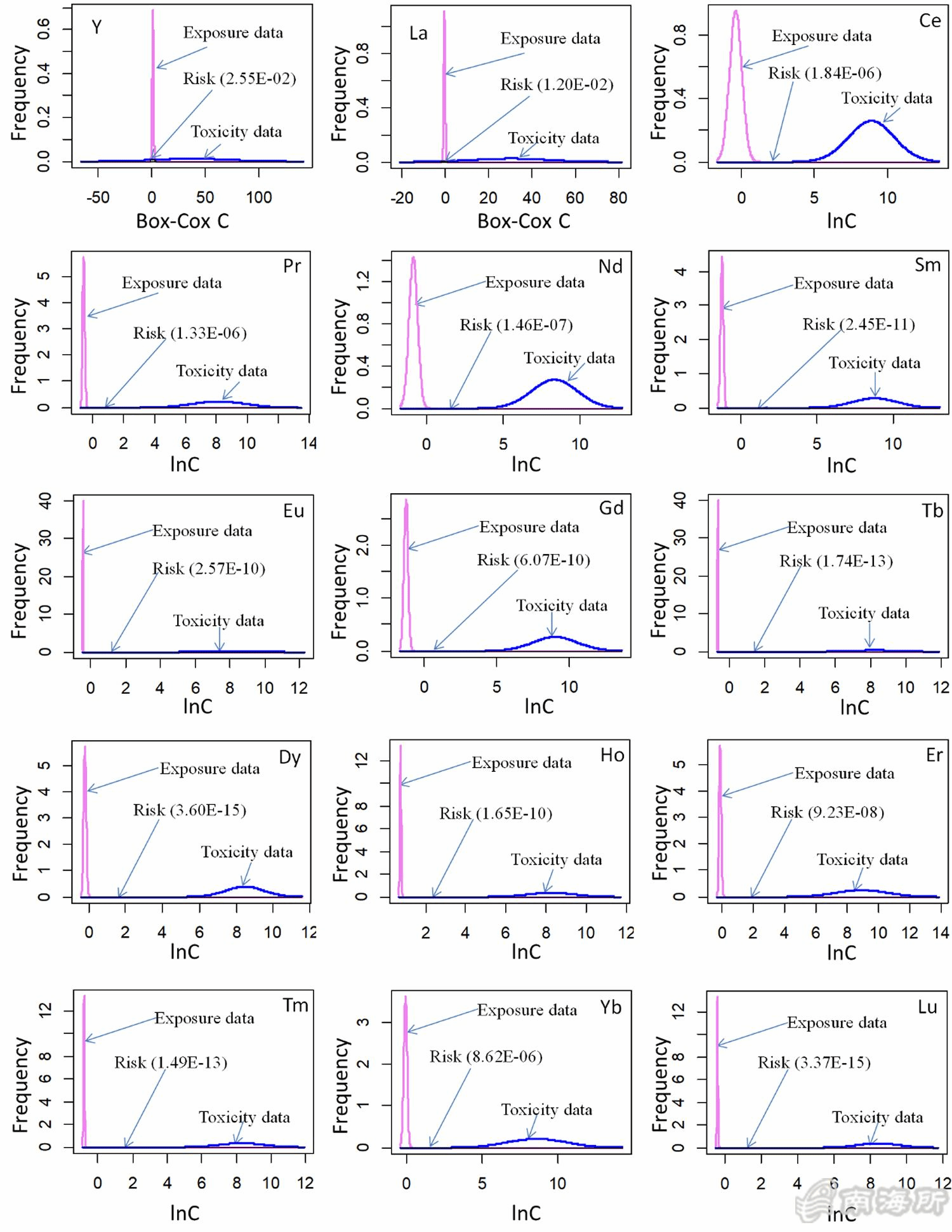
珠江流域是我国主要的稀土矿区;珠三角是我国重要的工业和高端制造业区域。珠江流域大量的稀土开采和高端制造业的发展不可避免地导致稀土元素进入珠江河网系统,最终到达珠江口。该研究选取珠江口潮间带水域为研究对象,评价方法的主要步骤包括:一是采用DGT技术进行珠江口潮间带沉积物中稀土元素生物可利用性研究,从而获取沉积物稀土元素生物可利用性浓度;二是从ScienceDirect、Springer和CNK等国内外数据库获取水生生物区系毒性数据,构建物种分布敏感曲线;三是采用美国宇航局和环保署推荐的概率风险评价模型,获得每种稀土元素的生态风险概率;四是采用容斥定律计算稀土元素对水生生物区系联合生态风险概率。研究结果表明,珠江口潮间带沉积物中15种稀土元素对水生生物区系生态风险概率为3.72%?br>
该研究获得国家重点研发计划“蓝色粮仓科技创新”项目(2019YFD0901105)、国家自然科学基金基础科学中心项目?1888101)和南方海洋科学与工程广东省实验室(广州)人才团队引进重大专项(GML2019ZD0402)等项目资助?br>

? 每种稀土元素对不同营养级水生生物区系风险概?br>
全文链接?a >http://www.sciencedirect.com/science/article/pii/S0043135420307910
微信扫一?br>分享到朋友圈
近日,中国水产科学研究院南海水产研究所渔业生态环境监测与评价创新团队谷阳光副研究员(第一/通讯作者)、黄洪辉研究员、吴风霞博士等基于沉积物稀土元素生物可利用性,首次构建了稀土元素对水生生物区系联合生态风险评价方法,相关研究成果以《First attempt to assess ecotoxicological risk of fifteen rare earth elements and their mixtures in sediments with diffusive gradients in thin films》为题发表在国际水环境顶级期刊《Water Research》上 (自然指数期刊,SCI,IF=9.130)?br>
金属稀土元素是元素周期表ⅢB族的钪、钇和镧系等17种金属元素的总称,广泛应用于高科技行业。稀土元素在全球范围内的开发和使用,不可避免地致使其进入水体和陆地生态系统,导致生态环境问题。目前,中国是世界最大的稀土存储、生产、消费、出口和进口的国家,产量约占全球60%以上。稀土元素被认为是新型的污染物,当其进入水生态系统,沉积物是主要的“库”和“源”。但是沉积物中多种稀土元素对水生生物区系的生态毒性却无相关报道?br>
目前,沉积物金属元素质量评价标准主要是依据金属总量而建立的,评价标准也主要是单因子评价。这种依据金属总量建立起来的评价标准往往高估了生态风险,而且这种生态风险也主要是针对单个水生生物物种,但真实的水生态系统中却是多种金属元素对不同营养级水生生物的联合毒性。因此,这些质量标准缺乏多种金属元素对多种水生生物生态风险的评价?br>
与传统的破坏性测定技术相比,梯度扩散薄膜(DGT)技术能够在原位状态下比较真实地反映环境介质中目标物的可移动性和生物可利用性,从而更好地反映环境介质的营养或污染水平。DGT 的富集过程可以模拟目标离子在环境中的迁移和生物吸收过程,分析结果更加科学可靠,而这一特点正是传统有效态测定方法所欠缺的?/p>

? 珠江口潮间带沉积物稀土生物可利用性浓度及分布特征
珠江流域是我国主要的稀土矿区;珠三角是我国重要的工业和高端制造业区域。珠江流域大量的稀土开采和高端制造业的发展不可避免地导致稀土元素进入珠江河网系统,最终到达珠江口。该研究选取珠江口潮间带水域为研究对象,评价方法的主要步骤包括:一是采用DGT技术进行珠江口潮间带沉积物中稀土元素生物可利用性研究,从而获取沉积物稀土元素生物可利用性浓度;二是从ScienceDirect、Springer和CNK等国内外数据库获取水生生物区系毒性数据,构建物种分布敏感曲线;三是采用美国宇航局和环保署推荐的概率风险评价模型,获得每种稀土元素的生态风险概率;四是采用容斥定律计算稀土元素对水生生物区系联合生态风险概率。研究结果表明,珠江口潮间带沉积物中15种稀土元素对水生生物区系生态风险概率为3.72%?br>
该研究获得国家重点研发计划“蓝色粮仓科技创新”项目(2019YFD0901105)、国家自然科学基金基础科学中心项目?1888101)和南方海洋科学与工程广东省实验室(广州)人才团队引进重大专项(GML2019ZD0402)等项目资助?br>

? 每种稀土元素对不同营养级水生生物区系风险概?br>
全文链接?a >http://www.sciencedirect.com/science/article/pii/S0043135420307910


粤公网安?4010502001742?/a>