南海所在eDNA技术解析多维度鱼类群落多样性研究方面取得突?/h3>
近日,中国水产科学研究院南海水产研究所院级南海渔业资源调查与评估创新团队和所级南海珍稀濒危动物保护创新团队在eDNA技术解析多维度鱼类群落多样性研究方面取得突破,评估了eDNA技术揭示多维度鱼类多样性的可行性,强调了eDNA技术克服传统方法在评估系统发育多样性方面局限性的价值。相关研究成果以“Advancing fish diversity monitor in degraded marine ecosystem with environmental DNA approach: Unveiling hidden riches”为题发表在国际生态学领域期刊《Ecological Indicators》(联合培养研究生蒋佩文为第一作者,李敏和陈作志为通讯作者)?/span>
从多个维度理解鱼类多样性对于深入了解鱼类群落、维护多样性水平具有重要意义。传统的物种多样性评估主要关注分类多样性(taxonomic diversity,TD),即物种丰富度,往往忽视了物种间固有的生态差异。为了解决这些局限性,功能多样性(functional diversity,FD)和系统发育多样性(phylogenetic diversity,PD)等指标被引入,以更全面了解群落的生态功能和适应环境变化的潜力。然而系统发育多样性评估需要采集群落中每个物种的遗传信息,这对传统的采样方法构成了重大挑战,开发简单易用的多维度鱼类多样性研究方案显得尤为重要?/p>
南海所创新团队构建了基于环境DNA(eDNA)技术的鱼类多样性多维评价方法,并结合拖网手段解析了南海北部陆架海域鱼类群落结构时空变化特征以及与环境因子的关系。创新团队选择南海北部200米水深以浅的海域作为研究区域,分别于夏季和冬季采集多个站点的水样(图1),并同步进行了底拖网采样和环境数据采集。通过eDNA宏条码技术解析了鱼类物种组成,从α多样性和β多样性层面评估了TD、FD和TD?/p>

? 南海北部鱼类群落空间差异及与地理距离之间的相关?/span>
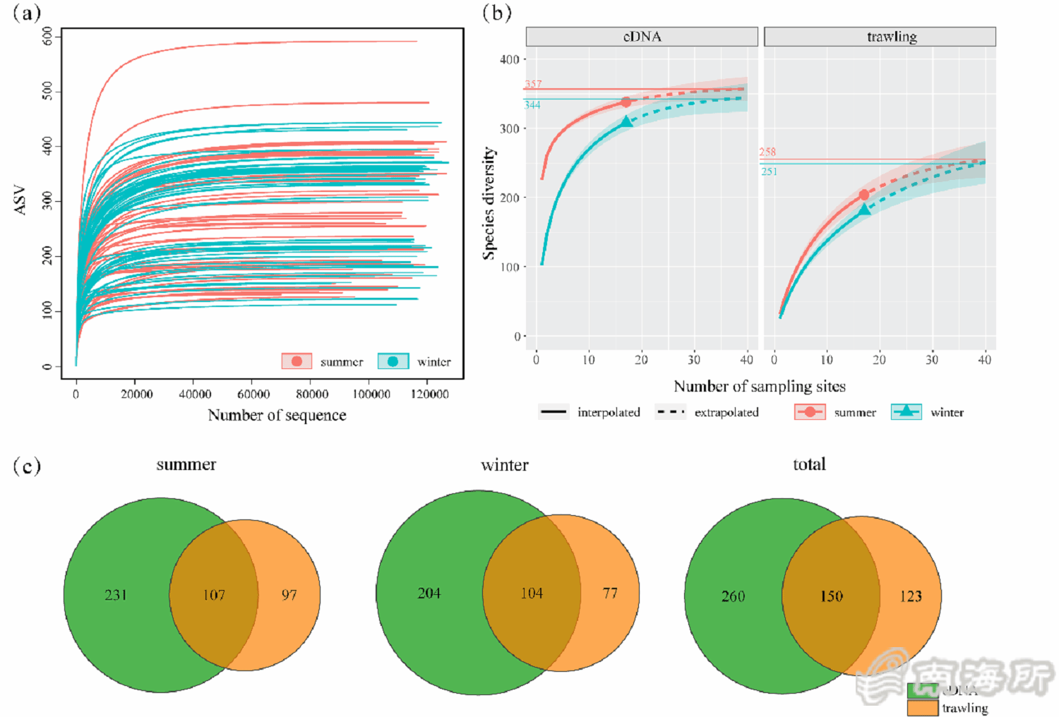
通过eDNA方法分别在夏季和冬季检测到338种和308种鱼类。eDNA鉴定的物种分别占夏季、冬季和总体底拖网检测到的物种的52.2%?7.1%?4.9%(图2)。群落结构差异与地理距离有较强的相关性,北部湾与东部大陆架区的鱼类群落呈现出显著差异(图1)?/p>

? eDNA和拖网检获的鱼类种类对比
在α多样性方面,南海北部夏季的鱼类分类多样性(species?25 vs.102)、功能多样性(FRic?.51 vs.0.19)以及系统发育多样性(PD?6.27 vs. 15.81)均高于冬季(图3)。在β多样性方面,物种替换(Replacement)对总体β多样性的贡献大于丰富度差异(Richness difference)的贡献(图4),说明季节间群落结构的差异主要由物种替换驱动。结果表明南海北部鱼类在夏季更为丰富和活跃,而在冬季表现出更显著的空间分布差异,如迁移到纬度较低、温度较高的地区过冬。此外,利用水环境和地理环境因素解释了南海北部鱼类α和β多样性的变化:夏季鱼类群落结构更多地受到水环境因素的影响,而冬季则更多地受到地理因素的影响(图5)?/p>

? 基于eDNA宏条码的南海北部鱼类α多样性(TDα、FDα和PDα)季节差?/span>

? 基于eDNA宏条码的南海北部鱼类β多样性(TDβ、FDβ和PDβ?/span>
该研究得到国家重点研发计划、中国水产科学研究院中央级公益性科研院所基本科研业务费等项目资助?/p>
论文链接?a >https://www.sciencedirect.com/science/article/pii/S1470160X24003509

? 水环境因子的季节差异与鱼类多样性指标的相关?/span>
微信扫一?br>分享到朋友圈
近日,中国水产科学研究院南海水产研究所院级南海渔业资源调查与评估创新团队和所级南海珍稀濒危动物保护创新团队在eDNA技术解析多维度鱼类群落多样性研究方面取得突破,评估了eDNA技术揭示多维度鱼类多样性的可行性,强调了eDNA技术克服传统方法在评估系统发育多样性方面局限性的价值。相关研究成果以“Advancing fish diversity monitor in degraded marine ecosystem with environmental DNA approach: Unveiling hidden riches”为题发表在国际生态学领域期刊《Ecological Indicators》(联合培养研究生蒋佩文为第一作者,李敏和陈作志为通讯作者)?/span>
从多个维度理解鱼类多样性对于深入了解鱼类群落、维护多样性水平具有重要意义。传统的物种多样性评估主要关注分类多样性(taxonomic diversity,TD),即物种丰富度,往往忽视了物种间固有的生态差异。为了解决这些局限性,功能多样性(functional diversity,FD)和系统发育多样性(phylogenetic diversity,PD)等指标被引入,以更全面了解群落的生态功能和适应环境变化的潜力。然而系统发育多样性评估需要采集群落中每个物种的遗传信息,这对传统的采样方法构成了重大挑战,开发简单易用的多维度鱼类多样性研究方案显得尤为重要?/p>
南海所创新团队构建了基于环境DNA(eDNA)技术的鱼类多样性多维评价方法,并结合拖网手段解析了南海北部陆架海域鱼类群落结构时空变化特征以及与环境因子的关系。创新团队选择南海北部200米水深以浅的海域作为研究区域,分别于夏季和冬季采集多个站点的水样(图1),并同步进行了底拖网采样和环境数据采集。通过eDNA宏条码技术解析了鱼类物种组成,从α多样性和β多样性层面评估了TD、FD和TD?/p>

? 南海北部鱼类群落空间差异及与地理距离之间的相关?/span>
通过eDNA方法分别在夏季和冬季检测到338种和308种鱼类。eDNA鉴定的物种分别占夏季、冬季和总体底拖网检测到的物种的52.2%?7.1%?4.9%(图2)。群落结构差异与地理距离有较强的相关性,北部湾与东部大陆架区的鱼类群落呈现出显著差异(图1)?/p>

? eDNA和拖网检获的鱼类种类对比
在α多样性方面,南海北部夏季的鱼类分类多样性(species?25 vs.102)、功能多样性(FRic?.51 vs.0.19)以及系统发育多样性(PD?6.27 vs. 15.81)均高于冬季(图3)。在β多样性方面,物种替换(Replacement)对总体β多样性的贡献大于丰富度差异(Richness difference)的贡献(图4),说明季节间群落结构的差异主要由物种替换驱动。结果表明南海北部鱼类在夏季更为丰富和活跃,而在冬季表现出更显著的空间分布差异,如迁移到纬度较低、温度较高的地区过冬。此外,利用水环境和地理环境因素解释了南海北部鱼类α和β多样性的变化:夏季鱼类群落结构更多地受到水环境因素的影响,而冬季则更多地受到地理因素的影响(图5)?/p>

? 基于eDNA宏条码的南海北部鱼类α多样性(TDα、FDα和PDα)季节差?/span>

? 基于eDNA宏条码的南海北部鱼类β多样性(TDβ、FDβ和PDβ?/span>
该研究得到国家重点研发计划、中国水产科学研究院中央级公益性科研院所基本科研业务费等项目资助?/p>
论文链接?a >https://www.sciencedirect.com/science/article/pii/S1470160X24003509

? 水环境因子的季节差异与鱼类多样性指标的相关?/span>


粤公网安?4010502001742?/a>