南海所在典型渔业水域中营养盐和稀土元素对水生生物 区系联合生态风险评估方面取得新进展
近日,中国水产科学研究院南海水产研究所院级南海渔业生态环境监测与评价创新团队谷阳光研究员等联合河海大学、日本山形大学等单位科研人员基于典型渔业水域中营养盐和稀土元素的生物可利用性,开展了营养盐和稀土元素对水生生物区系联合生态风险评价研究,相关研究成果以?span style="font-family: "times new roman";">Nutrients and rare earth elements in surface sediments of Hongze Lake (China) using the DGT technique: spatial distribution pattern and probabilistic risk”为题发表在环境领域知名期刊《ACS ES&T Water》上?/p>
稀土元素(REEs)包括十五种镧系元素(La-Lu)、钪(Sc)和钇(Y),被认为是新污染物。REEs 对现代技术和清洁能源生产等方面至关重要。它们独特的性质使其在推动高科技国防技术和改造传统产业方面不可或缺。然而,REEs 的广泛开采和使用导致了环境问题,大量排放进入河流和湖泊中,主要积累在沉积物中?/p>
湖泊在维持生态平衡和作为区域水系统的重要组成部分方面发挥着重要作用,在我国数量众多且分布广泛。尽管湖泊具有重要性,但它们面临着由于人类活动引起的营养盐和REEs污染的威胁。洪泽湖是我国第四大淡水湖,作为南水北调东线工程的重要水库,是一个具有深远生态影响的动态生态系统。然而,由于经济快速发展、城市化和氮、磷及金属的流入,这一生态平衡受到多方面的人类活动的影响。研究表明,流入洪泽湖的淮河存在不同程度的REEs污染。随着这些挑战的加剧,洪泽湖的整体健康状况成为科学研究的焦点,促使学者们对沉积物中营养盐和REEs的联合生态毒理效应进行深入探讨?/p>
在环境科学领域中,生物有效性指的是生物体能够吸收的化学物质的数量。薄膜扩散梯度(DGT)技术是一种被动采样方法,能够识别土壤、沉积物和水中各种溶质的活性浓度、种类及分布。DGT是评估无机和有机物质生物有效性的方法。其最近的应用表明,它可以预测水生生物中的污染物毒性和生物有效性。目前,尚无基于生物有效性评估多种营养盐?REEs对水生生物区系的联合生态效应。因此,本研究的主要目标是揭示洪泽湖表层沉积物中营养盐和REEs的空间分布模式,并评估营养盐?REEs对水生生物区系的联合生态毒性效应?/p>
该研究以洪泽湖为研究对象,采用DGT技术获取沉积物中营养盐和REEs生物可利用性浓度,进一步采用该团队前期已经成功构建的不同类型多种污染物对水生生物区系联合生态风险评估的方法(例如:Water Res., 2020, 185: 116254; Water Res., 2022, 224: 119108; Sci. Total Environ., 2023, 867: 161433; Environ. Pollut., 2023, 324: 121370; Chemosphere; 2023, 329: 138592),对洪泽湖沉积物中营养盐和REEs的联合生态风险进行了评估,结果表明,洪泽湖沉积物中营养盐和REEs对水生生物区系联合生态风险概率仅?.26%,属于低风险?/p>

?/span>1 研究区域洪泽湖在我国东部地区的地理位置示意图?/span>A),以及采样点分布图?/span>B)?/span>


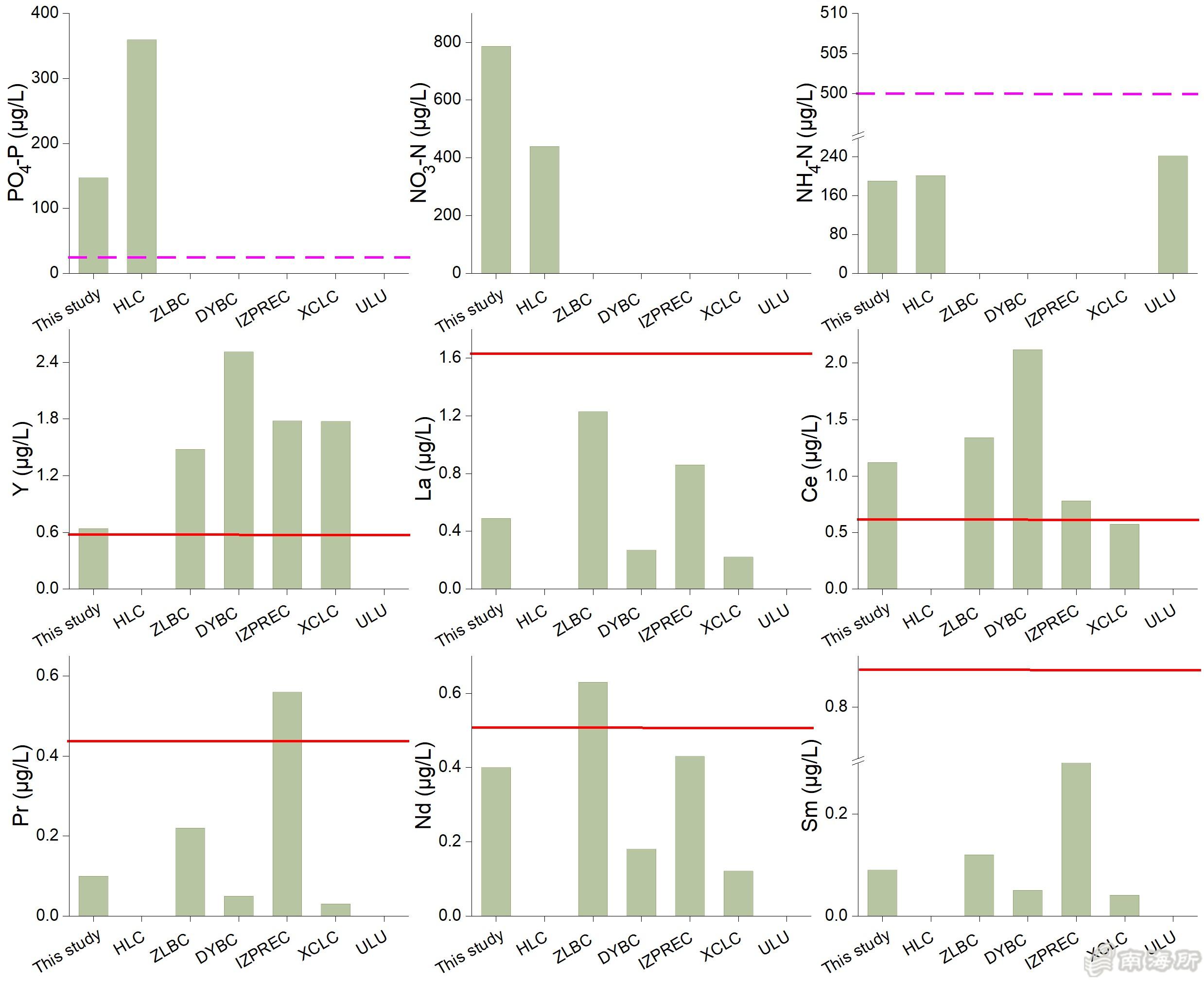
?/span>2. 洪泽湖表层沉积物中营养盐?/span>REEs?/span>DGT浓度及其与相关标准和地区的比较?/span>PNEC:预测无影响浓度?/span>CNSEQSW (?/span>):我国地表水环境质量国家标准?/span>GB 383-2002)的二级标准;二级标准(Ⅱ)主要适用于集中式生活饮用水地表水源一级保护区、珍稀水生生物栖息地、鱼虾产卵场和鱼苗、幼鱼的饵料区等?/span>HLC:呼伦湖?/span>ZLBC:柘林湾?/span>DYBC:大亚湾?/span>IZPREC:珠江口潮间带?/span>XCLC:新村湾?/span>ULU:美国的犹他湖。本研究中所提及?/span>ULU浓度是指水体中的浓度,而不是使?/span>DGT技术测量的沉积物中的浓度?/span>

?span style="font-size: 12px; font-family: "Times New Roman", "serif";">3. 洪泽湖表层沉积物中营养盐?span style="font-size: 12px; font-family: "Times New Roman", "serif";">REEs?span style="font-size: 12px; font-family: "Times New Roman", "serif";">Pearson相关系数?/span>

?/span>4. 洪泽湖表层沉积物中营养盐?/span>REEs因子载荷分布图(A?/span>B)及每个站点?/span>F1?/span>F2?/span>F3?/span>F4因子得分?/span>C?/span>D?/span>E?/span>F)?/span>

?/span>5. 基于地理信息系统?/span>GIS)中的反距离权重?/span>IDW)技术,洪泽湖表层沉积物?/span>F1?/span>F2?/span>F3?/span>F4得分的空间分布图?/span>

?/span>6. 洪泽湖表层沉积物中营养盐?/span>REEs的暴露浓度和毒性浓度的概率密度分布图?/span>

?/span>7. 洪泽湖表层沉积物中,轻稀土(LREE?/span>/重稀土(HREE)比值(A)、球粒陨石标准化?/span>REEs分布模式图(B)以及营养盐?/span>REEs的联合生态风险(C)?/span>
该研究获得了国家重点研发计划“蓝色粮仓科技创新”项目(2019YFD0901105)和中国水产科学研究院中央级公益性科研院所基本科研业务费(2023TD15)项目的资助?/p>
全文链接?a >https://pubs.acs.org/doi/10.1021/acsestwater.4c00058


粤公网安?4010502001742?/a>