南海所研究南海北部近海细菌、原生动物和硅藻分布格局取得新进?/h3>

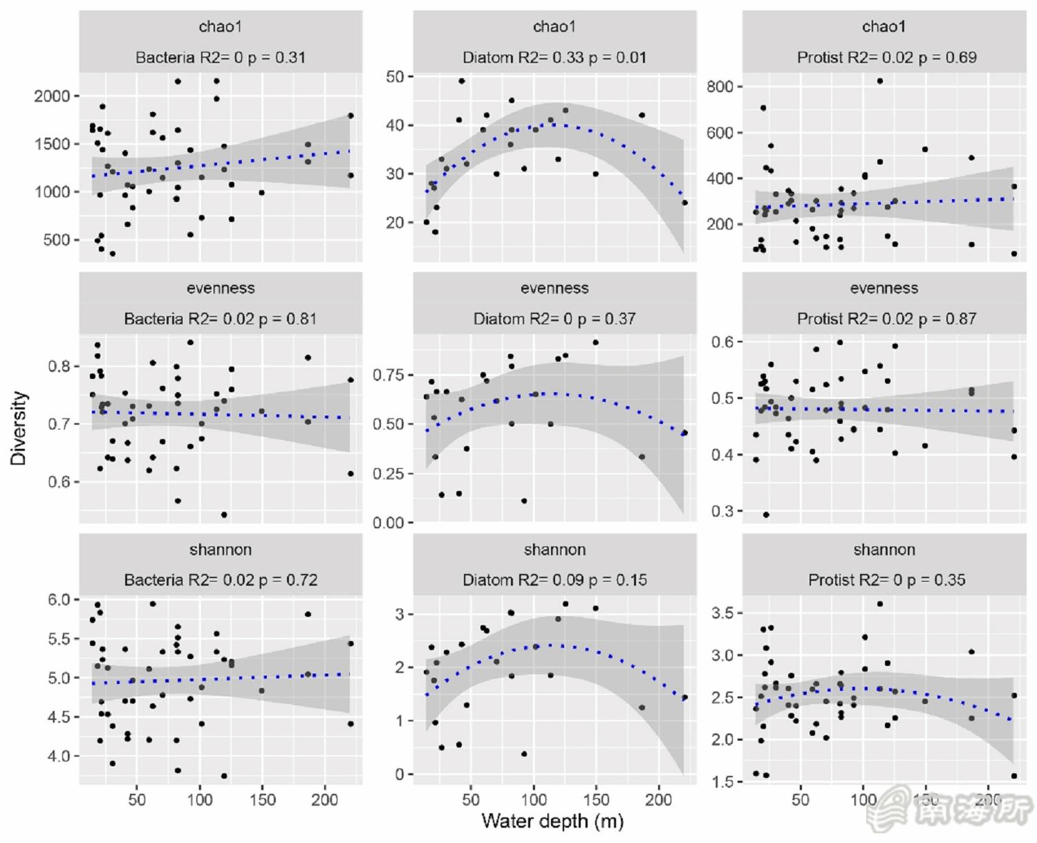
1 细菌、硅藻和原生动物α多样性的垂直分布
近日,中国水产科学研究院南海水产研究所院级海湾与岛礁水域生态保护与修复创新团队在利用宏基因组测序技术分析中国南海北部近海细菌、原生动物和硅藻多样性及其垂直分布格局方面取得阶段性成果,为近海海洋生态系统研究提供了基础资料。该研究成果论文以“Distributional Pattern of Bacteria, Protists, and Diatoms in Ocean according to Water Depth in the Northern South China Sea”为题发表在Microbiology Spectrum(JCR Q1)上?/p>
海洋细菌、原生动物和微藻是海洋生态系统的重要组成部分,在海洋物质循环和能量流动中发挥重要作用。它们的群落结构、多样性格局和功能变化会对整个微食物网及近岸浅海生态系统产生影响。因对海洋环境变化敏感,许多种类的海洋微生物、原生动物和硅藻可作为水污染指示生物。南海北部海域聚集了北部湾、珠江河口、粤东渔场等,孕育着丰富的渔业资源,为海洋生物提供了良好的栖息繁殖环境;同时,该海域也是受人类活动影响较频繁的区域。据此,南海所创新团队以南海北部近海细菌、原生动物和硅藻为对象,对其多样性、分布特征及其与环境因子的关系进行研究,阐释其群落动态、结构功能的重要性和潜在的生态作用?/p>
该创新团队基于宏基因组测序方法,评估了不同水深海洋细菌、原生动物和硅藻群落和功能的变化。结果显示,硅藻的物种丰富度(α多样性)和群落组成(β多样性)与水深呈显著正相关关系(P<0.05),可能与水下光强波动有关;而细菌和原生动物的物种丰富度与水深相关性不显著(P>0.05),未表现出明显的垂直分布规律。此外,盐度升高对某些硅藻和细菌类群的丰度有负面影响。北部湾、珠江河口硅藻丰度与盐度显著相关(P<0.05),珠江河口硅藻丰度与水深、硅酸盐等也显著相关(P<0.05)。对24个宏基因组的LEfSe分析,不同水深样品KEGG代谢途径基因存在差异表达,其?种(包括类黄酮类、二苯乙烯类、二芳基庚烷类和姜辣素生物合成)?0m处富集,3种在10m处富集,反映了近海不同水深(0~200m)海洋细菌功能的浅层差异?/p>
该研究得到广东省基础与应用基础研究重大项目课题?019B030302004-05),广东省基础与应用基础研究基金项目?019B1515120065)、农业农村部财政专项 (NFZX2021),中国水产科学研究院中央级公益性科研院所基本科研业务费专项(2020TD16),中国水产科学研究院南海水产研究所中央级公益性科研院所基本科研业务费专项(2021SD04)等项目资助?/p>
论文获取链接?a >https://journals.asm.org/doi/10.1128/spectrum.02759-21

2 细菌、硅藻和原生动物β多样性的垂直分布

3 细菌、硅藻和原生动物三组之间的共现网?/p>
微信扫一?br>分享到朋友圈

1 细菌、硅藻和原生动物α多样性的垂直分布
近日,中国水产科学研究院南海水产研究所院级海湾与岛礁水域生态保护与修复创新团队在利用宏基因组测序技术分析中国南海北部近海细菌、原生动物和硅藻多样性及其垂直分布格局方面取得阶段性成果,为近海海洋生态系统研究提供了基础资料。该研究成果论文以“Distributional Pattern of Bacteria, Protists, and Diatoms in Ocean according to Water Depth in the Northern South China Sea”为题发表在Microbiology Spectrum(JCR Q1)上?/p>
海洋细菌、原生动物和微藻是海洋生态系统的重要组成部分,在海洋物质循环和能量流动中发挥重要作用。它们的群落结构、多样性格局和功能变化会对整个微食物网及近岸浅海生态系统产生影响。因对海洋环境变化敏感,许多种类的海洋微生物、原生动物和硅藻可作为水污染指示生物。南海北部海域聚集了北部湾、珠江河口、粤东渔场等,孕育着丰富的渔业资源,为海洋生物提供了良好的栖息繁殖环境;同时,该海域也是受人类活动影响较频繁的区域。据此,南海所创新团队以南海北部近海细菌、原生动物和硅藻为对象,对其多样性、分布特征及其与环境因子的关系进行研究,阐释其群落动态、结构功能的重要性和潜在的生态作用?/p>
该创新团队基于宏基因组测序方法,评估了不同水深海洋细菌、原生动物和硅藻群落和功能的变化。结果显示,硅藻的物种丰富度(α多样性)和群落组成(β多样性)与水深呈显著正相关关系(P<0.05),可能与水下光强波动有关;而细菌和原生动物的物种丰富度与水深相关性不显著(P>0.05),未表现出明显的垂直分布规律。此外,盐度升高对某些硅藻和细菌类群的丰度有负面影响。北部湾、珠江河口硅藻丰度与盐度显著相关(P<0.05),珠江河口硅藻丰度与水深、硅酸盐等也显著相关(P<0.05)。对24个宏基因组的LEfSe分析,不同水深样品KEGG代谢途径基因存在差异表达,其?种(包括类黄酮类、二苯乙烯类、二芳基庚烷类和姜辣素生物合成)?0m处富集,3种在10m处富集,反映了近海不同水深(0~200m)海洋细菌功能的浅层差异?/p>
该研究得到广东省基础与应用基础研究重大项目课题?019B030302004-05),广东省基础与应用基础研究基金项目?019B1515120065)、农业农村部财政专项 (NFZX2021),中国水产科学研究院中央级公益性科研院所基本科研业务费专项(2020TD16),中国水产科学研究院南海水产研究所中央级公益性科研院所基本科研业务费专项(2021SD04)等项目资助?/p>
论文获取链接?a >https://journals.asm.org/doi/10.1128/spectrum.02759-21

2 细菌、硅藻和原生动物β多样性的垂直分布

3 细菌、硅藻和原生动物三组之间的共现网?/p>


粤公网安?4010502001742?/a>