南海所小样本水生生物摄食习性研究取得新进展

? 胃含物的形态学鉴定
近日,中国水产科学研究院南海水产研究所对小样本水生生物摄食习性的研究取得新进展,相关研究成果以“Is Metagenomic Analysis an Effective Way to Analyze Fish Feeding Habits? A Case of the Yellowfin Sea Bream Acanthopagrus latus (Houttuyn) in Daya Bay”为题,发表在国际期刊《Frontiers in Marine Science》上,南海所与上海海洋大学联合培养硕士研究生潘莞倪为第一作者,秦传新博士和于刚博士为通讯作者。该研究获得国家重点研发项目(2018YFD0901605)、南方海洋科学与工程广东省实验室(广州)人才团队重大专项(GML2019ZD0402)、中国水产科学研究院基本科研业务费重点项目(2020YJ04?020SY01)等资金资助?/p>
阐明水生生物摄食习性,对于进一步了解水生生物在水生食物网中的地位、评估水生生态系统健康状况、提高水生生物开发和利用效率等具有重要意义。然而,受水生生物自身生物量、捕捞方式等限制,很多生物种类很难同时获取较大的生物量,这就限制了传统形态学食性分析方法的准确性。南海所开展此次水生生物摄食习性研究,以大亚湾黄鳍棘鲷为研究对象,通过形态学和宏基因组相结合的方法,解析了大亚湾黄鳍棘鲷食物组成及其对肠道微生物群落结构功能的影响,构建了一种小样本水生生物摄食习性分析方法,这对进一步开展小样本水生生物摄食生态学研究具有一定的理论依据和参考价值?/p>
论文链接?a >https://doi.org/10.3389/fmars.2021.634651

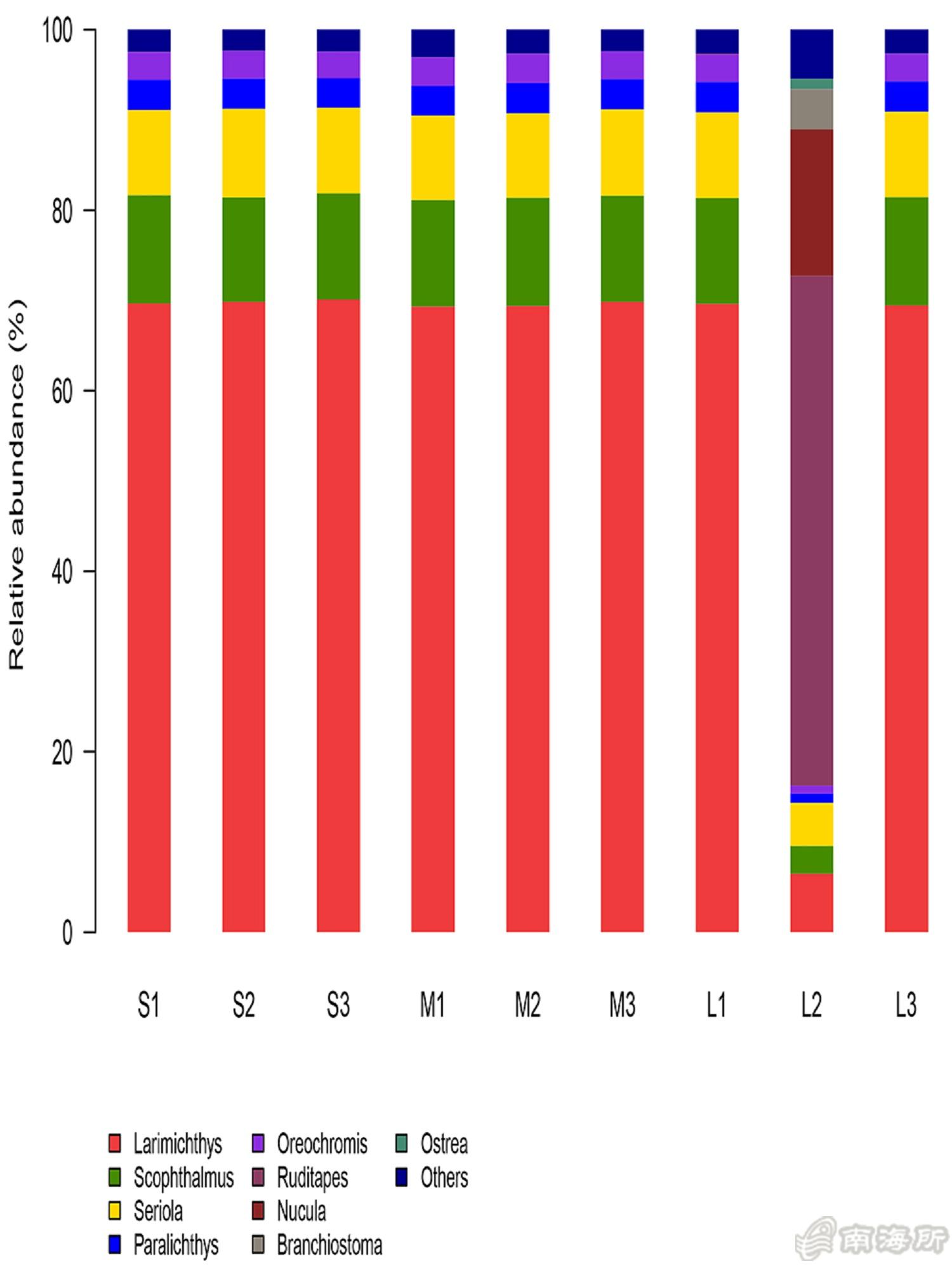
? 黄鳍棘鲷胃含物样品中真核生物成分的相对丰度图


粤公网安?4010502001742?/a>